CryoBIND AC susceptibillity systems
Measurement examples
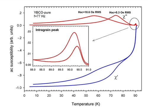
High-Tc Superconductors
High-Tc Superconductors
Magnetic Nanoparticles
Magnetic Nanoparticles
Quantum Magnets
Quantum Magnets
Magnetic Domain Wall Dynamics
Magnetic Domain Wall Dynamics
